Senin, 14 Juni 2021

REMEDIAL SOAL PAT

Indah Putri Lestari (17)

XI IPS 2

Matematika

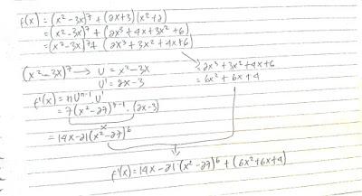
JAWABAN SOAL UNTUK REMEDIAL PAT






























































































Tidak ada komentar:

Posting Komentar

REMEDIAL SOAL PAT

Indah Putri Lestari (17) XI IPS 2 Matematika JAWABAN SOAL UNTUK REMEDIAL PAT